Ir para o conteudo Ir para o fim do conteudo
Avenida Presidente Bernardes, 809 - Bairro Centro CEP 86.600-067 - Rolândia - PR

Notícias

Prefeitura Municipal de Rolândia


CICLISMO DE ROLÂNDIA VENCE EM LONDRINA
  • Data: 05 Mar

  • Autor: PMR

Na categoria Elite feminino, a campeã foi Renata Lopes, que abriu grande vantagem de suas adversárias, mostrando que está em ótima fase. Karina Tatcheva ficou em 3º lugar, Verônica Lobato em 7º e Ana Carolina em 9º. Vale ressaltar que essa ...

EQUIPE DE ROLÂNDIA FAZ BONITO EM PROVA RÚSTICA DE MANDAGUARI
  • Data: 04 Mar

  • Autor: PMR

Houve premiação também em dinheiro aos cinco primeiros colocados em cada categoria (Geral Masculino e Feminino). Mais de 500 atletas participaram do evento, que também foi abrilhantado com a equipe Tucanos de Rolândia, composta por cerca ...

FESTIVAL DE PESCA LEVA CENTENAS AO LAGO SAN FERNANDO
  • Data: 04 Mar

  • Autor: PMR

E também de trabalho: um grupo do escoteiros promoveu um mutirão de limpeza em torno do lago, um dos cartões postais da cidade. Agentes de endemias realizaram uma ação de conscientização no combate à dengue. O prefeito Johnny Lehmann presti...

TORNEIO 1° DE MAIO JÁ TEM 30 EQUIPES INSCRITAS
  • Data: 03 Mar

  • Autor: PMR

A expectativa dos organizadores é de que o número de equipes fique próximo do registrado em 2014, quando o torneio foi disputado por 70 agremiações. O atual campeão é o Brinquedos União, que na final venceu o Depósito Califórnia. Depois ...

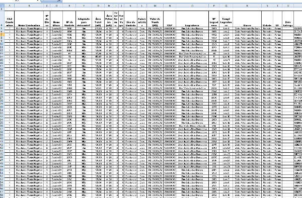
ASSISTÊNCIA SOCIAL PUBLICA PLANILHA DE QUADRAS E LOTES DO ‘TOMIE NAGATANI’
  • Data: 03 Mar

  • Autor: PMR

A planilha refere-se ao sorteio de quadras e lotes realizado em 29/12/2014, às 19h, no Colégio Kennedy, em Rolândia. A mesma encontra-se disponível também em meio físico na sede da Secretaria Municipal de Assistência Social, no 3° andar do ...

PALESTRA ESCLARECE POPULAÇÃO SOBRE USO DA ANTIGA PEDREIRA
  • Data: 02 Mar

  • Autor: PMR

Na ocasião, primeiramente foi feita uma explanação sobre as atividades realizadas pela secretaria, com relação ao recolhimento e destinação dos resíduos domiciliares e da construção civil. Incluindo também a limpeza pública, que é exec...

PREFEITURA VAI PROMOVER EVENTO PELO DIA INTERNACIONAL DA MULHER
  • Data: 26 Fev

  • Autor: PMR

Dentro da programação haverá a tradicional corrida e caminhada pelo fim da violência contra a mulher, a partir das 8:30 horas, na Avenida Castro Alves, ao lado da quadra espaço Viva Viva do Complexo Esportivo Emílio Gomes, com entrega de prem...

CARNÊS DO IPTU QUE NÃO FORAM ENTREGUES PELOS CORREIOS DEVEM SER RETIRADOS NA PREFEITURA
  • Data: 25 Fev

  • Autor: PMR

A outra opção para o contribuinte pagar o IPTU de 2015 é imprimir o boleto acessando o site da prefeitura: www.rolandia.pr.gov.br. Basta clicar no ícone AR Cidadão, depois em “Imprimir 2ª via do IPTU”, selecionar o cadastro “Imobiliári...

PRESIDENTE DA UCES DE CAMBÉ VISITA PREFEITO JOHNNY LEHMANN
  • Data: 24 Fev

  • Autor: PMR

Segundo Bruno Silva, a UCES tem 60 anos de história na cidade de Cambé e que, por alguma razão, ficou desativada por dez anos. Em dezembro de 2014, o Congresso da União Municipal dos Estudantes Secundaristas (CONUMES) elegeu a nova gestão da U...

VEM AÍ O 5º TORNEIO DE PESCA DE ROLÂNDIA NO LAGO DO SÃO FERNANDO
  • Data: 24 Fev

  • Autor: PMR

A Prefeitura de Rolândia estará disponibilizando 1.300 quilos de peixes da espécie tilápia e pacu no Lago do São Fernando, sendo uma quantidade padrão já utilizada nos festivais anteriores.Além de divulgar o potencial turístico do municíp...